2025—2026年楚雄州武定县大学生志愿服务西部计划地方项目招募笔试成绩公告及面试安排
2025-06-17来源:武定青年公众号

武定县2025—2026年度大学生志愿服务西部计划地方项目招募笔试成绩公告及面试安排

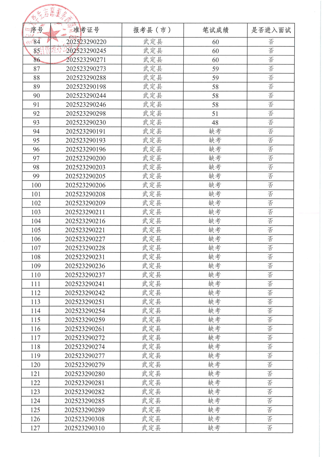
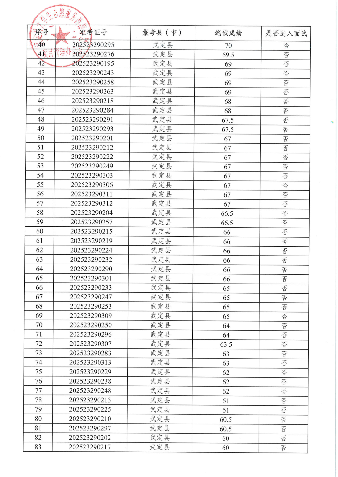
根据共青团云南省委、云南省教育厅、云南省财政厅、云南省人力资源和社会保障厅《关于印发〈2025—2026年度云南省大学生志愿服务西部计划实施方案〉的通知》和云南省大学生志愿服务西部计划项目管理办公室《关于做好2025—2026年度云南省大学生志愿服务西部计划地方项目志愿者招募派遣工作的通知》要求,武定县2025—2026年度计划招录大学生志愿服务西部计划省级地方项目志愿者9名。通过报名资格审核127人,武定县项目办于2025年6月14日下午组织开展了志愿者笔试,现对笔试成绩予以公告。

公示时间为2025年6月16日至6月18日,如考生对笔试成绩有异疑,请于公示期内向楚雄州项目办书面提交查分申请(含报考县市、姓名、准考证号及考生联系电话)。若公示无异议则根据成绩从高到低按照1:3的比例确定前29名考生进入面试,并组织考生领取面试通知书。

面试时间及地点

面试时间:2025年6月20日(星期五)上午8:30。

面试地点:云南省武定第一中学文昌楼4楼。

武定第一中学

云南省楚雄彝族自治州武定县狮山镇复兴街24号

面试方式及内容

面试方式及内容采用结构化面试的方式进行,主考官按照面试试题提问,主要考察考生的综合分析、言语表达、情绪控制与应变能力、组织协调能力、人际交往的意识与技巧、与拟任职位的匹配、仪表举止等要素,面试时间每人控制在8分钟以内,面试成绩总分为100分。

注意事项

(一)参加面试的考生必须提前30分钟(6月20日上午8:00)持本人身份证(或其他有效身份证明原件),由工作人员核对考生本人身份,并向考生宣布面试纪律、程序和其它有关注意事项,未带身份证(或其他有效身份证明原件),不得进入候考室,面试正式开始前(6月20日上午8:30)前未进行签到的,取消面试资格,面试请人代考的,成绩按零分处理。

(二)面试正式开始前20分钟,考生在工作人员的组织下抽签,确定面试顺序,并由考生本人在《面试考生抽签表》上签名确认。未轮到面试的考生须在候考室等候,未经候考室工作人员同意,不准随意离开,经同意暂时离开候考室的,须在工作人员的陪同下前往。未经同意随意离开候考室、不服从工作人员劝阻和管理的考生取消面试资格。

(三)考生不得将通讯工具带入考场和候考室,已带入的必须关闭,并主动交候考室工作人员保管(待面试结束后在物品寄存室领取,不得再进入候考室);严禁与候考室外的人员交谈、接触;严禁用手机等通信工具与他人联系;严禁将任何书籍和材料带入候考室。否则将视为违纪,取消面试资格。

(四)考生进入面试考场后,只准报本人的抽签序号,不得以任何方式向考官透露本人的姓名、父母的姓名、所读大学校名、所在乡镇和村(社区)等涉及本人身份的信息,违者考官将会在面试成绩中酌情扣分,情节严重的直接取消面试资格。

(五)考生面试结束后,当场签字确认《面试成绩确认单》后,考生方可离开,不得在附近喧哗逗留。

(六)总成绩的计算方法:笔试成绩×50%+面试成绩×50%=总分,县项目办根据总成绩从高到低择优录取,如遇录取的第9名为总成绩并列无法确定时,以笔试成绩高者录取,依然无法确定时,综合考虑在校期间表现、志愿服务经历等因素确定。拟招募名单确定后,将组织体检,体检合格人员进行统一培训,分配岗位。如出现岗位空缺,按照成绩从高到低进行补录。岗位调配和体检事项另行通知。

提醒事项

(一)请参加面试人员认真细致阅读本公告,因不遵守规定或个人原因造成的一切后果由本人自行承担。

(二)请考生认真做好准备,保持报名时填报的联系电话畅通,因电话不畅导致无法接收到参加面试等重要考试信息的,后果由考生承担。

(三)请考生注意查看武定团县委微信公众号(武定青年)的公告通知及招募微信群信息,按通知要求参加面试,因个人原因导致未及时收到参加面试通知等重要考试信息的,后果由考生自行承担。

(四)请各考生于6月19日(星期四)8:00—12:00,14:30—18:00到共青团武定县委407办公室(武定县群团机构联盟4楼)领取面试通知书,若于指定时间结束后未领取面试通知书的考生,视为自动放弃面试资格。

(五)如有疑问请致电共青团武定县委:0878—6018629。

武定县残疾人联合会

云南省楚雄彝族自治州武定县静城路与静溪路交叉口西北方向72米左右

武定县大学生志愿服务西部计划

项目管理办公室

2025年6月16日

武定县2025—2026年度大学生志愿服务西部计划地方项目招募笔试成绩.pdf

来源:https://mp.weixin.qq.com/s/z1WmSmA3hBOc71WiF9kpOg

2026上岸·考公考编培训报班

  • 报班类型
  • 姓名
  • 手机号
  • 验证码
推荐信息
Baidu
map